|
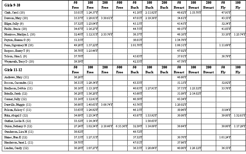
The Top Times Spreadsheet Report is designed to provide performance information in "spreadsheet" or "row/column" format. This report is sorted alphabetically within age group and includes each swimmer's best time. The report is based upon the meet results that have been entered or imported for the swimmers in your Database. To print or preview a report of Top or Best Times, click on Reports from the Main Menu Bar and then Performance and Top Times Spreadsheet.

This report offers a great deal of customization filters and sort options as described below.
Report Filters
This report offers the standard Age Group, Gender, Team, Group, Subgroup, WM Group, WM Subgroup, and School Year filters as well as the LSC filter and the following specific report filters.
Meet
You can run this report for all meets or you can filter it for just one meet by selecting that meet from the Meet list box. You can also restrict the list of meets by Date Range (Since and/or Until Dates) and by Meet Type as described below. You can set up these "Seasonal" Date in System Preferences.
Age Group
If you are sorting this report by event, you can choose how TM will group the swimmers in your Database according to age. Click on the Age Group tab and then Use Built-in if you want TM to group times by 10&U, 11-12, 13-14, and 15&O. Click on Use Custom to use the age groups you have previously set up in Custom Age Groups - click Here for more information on how to set up your own age group classifications. If you choose Custom Events, you will also be given the option to print the report in Portrait with an 11 event max or Landscape format with a 16 event max per age group.
Click on Use Masters and TM will group swimmers according to the standard masters age groups. Or choose Open Events and TM will treat each stroke/distance as a non-age group or Open event.
Meet Round
To display meet results from a specific round, all rounds, or the best time from all the rounds swum in the event for this one meet, you may choose All, Finals Only, Prelims Only, or Semis Only.
Inactive
To include Inactive swimmers in this report, please click on the Include Inactive check box.
Dates
You may filter the times in this report from a Since Date to an Until Date. For example, list top Times that were swum between September 1, 2003 and January 31, 2004. You can set up these "Seasonal" Dates in System Preferences

Meet Type
You may choose the Meet Type selection to include only meets that match that particular type. You may classify a meet type when you set up the meet. For example, you may want Best Times from "USS" or "YMCA" type meets only.
Include Swimmers with No Results
Click on the Include Swimmers with no Results check box and TM will include All Swimmers, not just the ones with at least one result.
Include Relay non-leadoff Legs
Click on this check box to include all of the Relay Non-Leadoff legs in your Top Times Spreadsheet list that have been previously split out from either the Team Results Browser or the Meet Results Browser. If there are new meet results since the date the last Split Out Relay Legs occurred, TM will display a warning message and suggest you go to the Teams Results Menu or Meet Results Menu and Split Out the Relay Legs.

NOTE: Relay Non-Leadoff Times are NOT recognized as official times.
Include Only Relay non-leadoff Legs
Click on this check box to include ONLY Relay Non-Leadoff legs that have been previously split out from either the Team Results Browser or the Meet Results Browser. If there are new meet results since the date the last Split Out Relay Legs occurred, TM will display a warning message and suggest you go to the Teams Results Menu or Meet Results Menu and Split Out the Relay Legs.

NOTE: Relay Non-Leadoff Times are NOT recognized as official times.
Include DQs
Click on this check box to include DQs if that is the only time for that stroke and event.
Show Names Only
Click on the Show Names Only check box and TM will NOT display Best Times in the row/column matrix. This may be a report to generate to take to a meet to "write in" meet results for each swimmer.
Course Options
TM provides 10 course options from which to select.

If you choose one of the options requesting conversion (e.g. YY) , TM will use the particular conversion factors that were chosen in Course Conversion setup. Click Here for information about how to setup or change your TM's course conversion factors.
Sort Options
This report can be sorted by:
•Gender then Age Group - i.e. list the Girls first in each of their Age Groups then the Boys. •Age Group then Gender - i.e. list both Girls/Boys for each age Group.
Memorize Report
Click on the Memorize Report icon and TM will give you the option to "name" this particular report that will include your specific filters and report customization options. Then when you want to run this report again, just click on Reports from the Main Menu bar and then Memorized Reports and click on the "name" you gave this report and TM will display the report menu "filled in" with the options and filters you previously saved.
Sample Report

Click on the Create Report button and TM will provide a preview of this report. You can click on the Export icon at the top of the Print Preview screen to export the report in various formats like PDF, Excel, Word, HTML, CSV, etc. And you can click on the Printer icon and TM will print the report to the selected printer.
|